HOME»基本情報技術者平成28年春期»午前問77
基本情報技術者平成28年春期 午前問77
問77
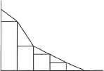
ある工場では,これまでに発生した不良品について,発生要因ごとの件数を記録している。この記録に基づいて,不良品発生の上位を占める要因と件数の累積割合を表したパレート図はどれか。
- [出題歴]
- 基本情報技術者 H20春期 問76
分類
ストラテジ系 » 企業活動 » 業務分析・データ利活用
正解
ア
解説
この設問のように、分析対象の項目値を大きい順に並べた棒グラフと、累積構成比を表す折れ線グラフを組み合わせた複合グラフをパレート図といいます。
各項目は値の大きい順に並んでいるので、棒グラフは左から右にいくにつれて低くなっていきます。逆に累積構成比は右にいくにつれて値が大きくなって(100%に近づいて)いくので、適切なのは「ア」の図になります。
各項目は値の大きい順に並んでいるので、棒グラフは左から右にいくにつれて低くなっていきます。逆に累積構成比は右にいくにつれて値が大きくなって(100%に近づいて)いくので、適切なのは「ア」の図になります。





