HOME»基本情報技術者令和7年度»[科目A]問3
基本情報技術者令和7年度 [科目A]問3
問3
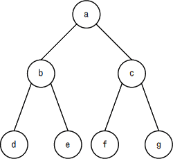
図の木構造は2分探索木である。a~gの値の大小関係として,適切なものはどれか。ここで,a~gの値は重複しないものとする。

- a<b<d<e<c<f<g
- d<b<e<a<f<c<g
- d<e<f<g<b<c<a
- g<f<c<e<d<b<a
分類 :
テクノロジ系 » アルゴリズムとプログラミング » データ構造
正解 :
イ
解説 :
2分探索木は、各ノードがもつデータについて「そのノードから出る左部分木にあるどのデータよりも大きく、右部分木のどのデータよりも小さい」という条件を満たす2分木です。つまり、どの部分を見ても「左<中<右」の関係を満たしている必要があります。
この「左<中<右」の関係に基づくと、左部分木の大小関係は「d<b<e」、右部分木は「f<c<g」となります。根aは左部分木よりも大きく、右部分木よりも小さいため、両者の間に入ります。よって、全体としては「d<b<e<a<f<c<g」の大小関係となります。
したがって「イ」が正解です。
※2分木 … 各ノードから出る枝数が2本以下の木

したがって「イ」が正解です。
※2分木 … 各ノードから出る枝数が2本以下の木
