HOME»基本情報技術者平成28年春期»午前 問49
基本情報技術者平成28年春期 午前 問49
問49
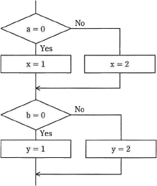
流れ図で表される部分を命令網羅によってテストするとき,テストケースは少なくとも幾つ用意する必要があるか。

- 2
- 3
- 4
- 5
分類 :
テクノロジ系 » システム開発技術 » ソフトウェア構築
正解 :
ア
解説 :
ホワイトボックステストにおける網羅性のレベルである「命令網羅」とは、すべての命令を少なくとも1回は実行するようにテストケースを設計することです。
網羅性のレベルには以下の5種類があります。
したがって正解は「ア」です。
網羅性のレベルには以下の5種類があります。
- 命令網羅
- すべての命令を少なくとも1回は実行する。
- 判定条件網羅
- 判定条件の真偽を少なくとも1回は実行する。
- 条件網羅
- 判定条件が複数ある場合に、それぞれの条件が真・偽の場合を組み合わせたテストケースを設計する。
- 判定条件・条件網羅
- 判定条件網羅と条件網羅を組み合わせてテストケースを設計する。
- 複数条件網羅
- 判定条件のすべての可能な結果の組合せを網羅し、かつ、すべての命令を少なくとも1回は実行するようにテストケースを作成する。

