令和3年度試験問題 問47
広告
解説
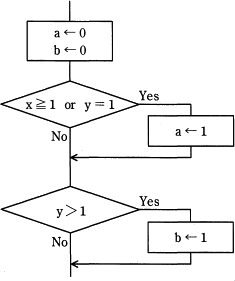
「分岐網羅」と「条件網羅」はホワイトボックステストにおける網羅性のレベルで、テストケースは以下のように設計されます。
- 分岐網羅(判定条件網羅)
- 判定条件の真偽を少なくとも1回は実行するテストケースを設計する。
- 条件網羅
- 判定条件が複数ある場合に、それぞれの条件が真・偽の場合を組み合わせたテストケースを設計する。
- どちらの分岐でもNoの処理を行っていないので分岐網羅を満たしません。また、"x≧1が偽"、"y=1が真"が含まれていないので条件網羅も満たしません。

- 分岐網羅を満たしますが、1つ目の分岐での判定条件に"y=1が真"が含まれていないので条件網羅を満たしません。

- 条件網羅を満たしますが、1つ目の分岐についてNoの処理を行っていないので分岐網羅を満たしません。

- 正しい。分岐網羅と条件網羅をともに満たすテストケースです。

広告

